中国科大郭光灿院士团队在强相互作用里德堡原子系统的研究中取得重要进展。该团队史保森、丁冬生课题组在里德堡原子驱动耗散系统中观察到了临界点的早期预警信号。相关成果12月9日以“Early warning signals of the tipping point in strongly interacting Rydberg atoms”为题发表在国际知名学术期刊《Physical Review Letters》上。
复杂系统具有显著的非线性和涌现性,在接近临界点时常伴随突发性变化,这种现象贯穿于生态、气候、经济等多个领域。当系统逐渐接近临界点时,其内部动力学特性会发生显著变化,例如波动增强或响应速度减慢,这些特征被提取出来并用作早期预警信号。预警信号不仅揭示了系统接近临界状态的本质,还为预测突变和制定应对策略提供了关键依据。然而,复杂系统的行为具有非线性和高度关联性,捕捉这些信号并实现准确预测仍然是科学研究中的一大挑战。里德堡原子系统因其具有复杂互联性、强非线性和涌现行为,是研究复杂系统临界现象的理想实验平台。丁冬生等人利用双音微波电场驱动里德堡原子,成功提取了临界点到来前的早期预警信号,如图1所示:

图 1 :物理模型图。(a)为相变示意图。(b)为双音驱动两个里德堡态的能级示意图。(c)为里德堡原子系统的相变。(d)为双音微波驱动下的电磁诱导透明(EIT)谱线。(e)是通过计算图d中谱线的方差得到。在系统接近临界点时,方差表现出非线性行为,这一行为可作为临界点前的早期预警信号。
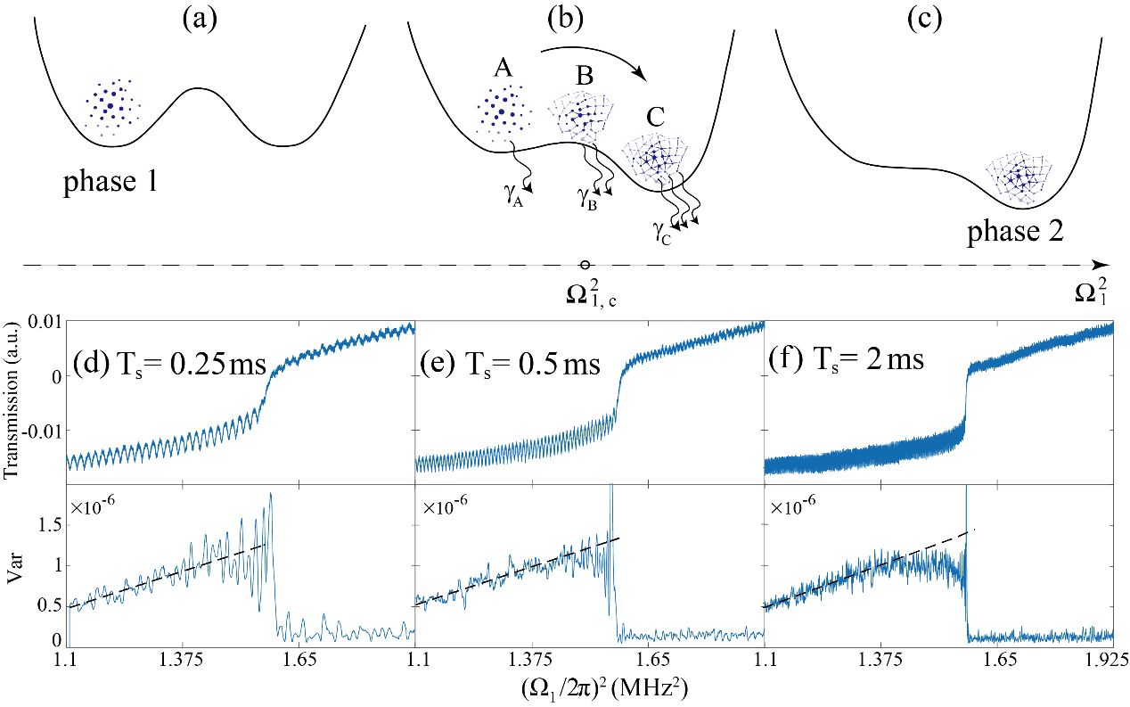
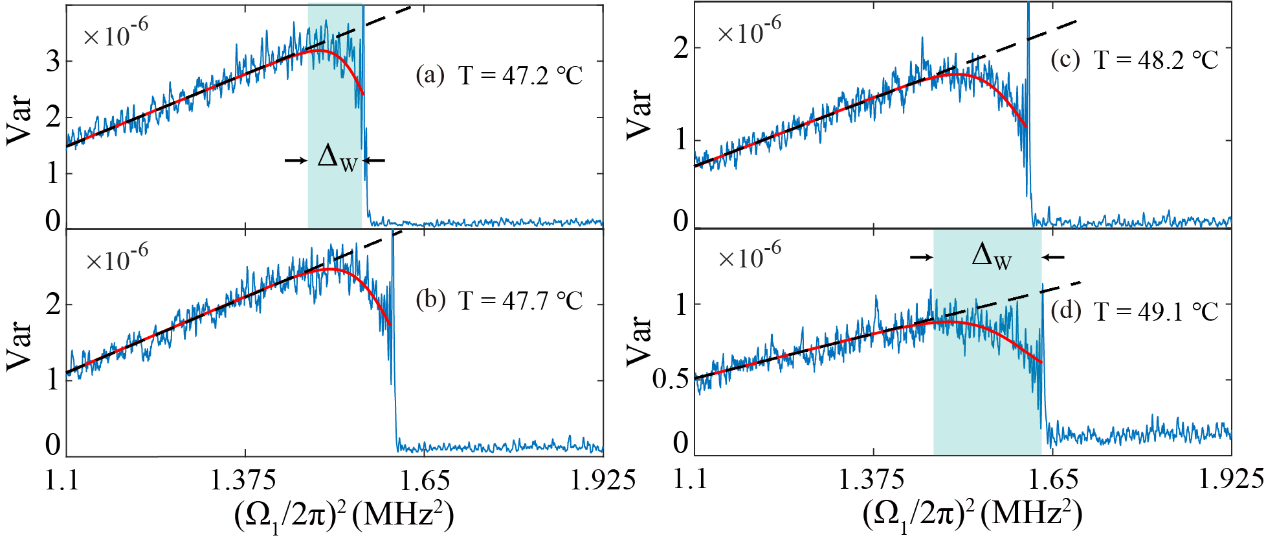
文章通过双势阱模型描述了非平衡相变及临界慢化过程,通过调节扫描时间、铷泡温度等参数,可以系统性地探测和分析不同临界行为的预警信号。在实验中,团队观察到系统相变过程的时间演化,如图2所示。同时,实验观测到不同空间结构条件和尺度下的预警信号,如图3所示。对于这些现象的研究将有助于我们更好地理解复杂系统的临界行为,还为其他由于复杂性引起临界现象的系统提供研究思路。

图 2 :(a-c)为双势阱模型描述相变过程。(d-f)为预警信号随扫描时间的变化趋势。

图 3 :不同温度下测量的方差和预警信号特征。
该工作得到了审稿人的高度评价:这无疑是一个有趣且动机明确的课题。热蒸汽中的里德堡原子已经被用来研究相变或病毒传播和火灾等临界现象。然而,正如作者所指出的,目前还没有关于临界点预测的研究。预测复杂系统中的临界点或许能让我们应对医学、气候科学或经济学等领域中的突发事件。因此,这篇论文可能会吸引广大读者。(“This is certainly an interesting and well-motivated topic. Rydberg atoms in hot thermal vapors have been used to investigate critical phenomena like phase transitions or the spread of viruses and fires. However, as the authors note, there has been no work on the prediction of tipping points. The ability to predict tipping points in complex systems might allow us to respond to sudden events in fields like medicine, climate science, or economics. As such, this paper might appeal to a broad audience.”)
中国科大博士研究生张俊和中国科大博士后张力华为本文的共同第一作者,丁冬生教授为本文的独立通讯作者。该成果得到了科技部、基金委、中国科学院、安徽省重大科技专项以及中国科学技术大学的资助。
文章链接:https://journals.aps.org/prl/abstract/10.1103/PhysRevLett.133.243601
(中国科学院量子信息重点实验室、物理学院、中国科学院量子信息和量子科技创新研究院、科研部)