中国科学技术大学国家同步辐射实验室和火灾科学国家重点实验室王占东教授研究团队在冷火焰链分支反应动力学研究取得重要进展,阐明了500-700 K的冷火焰链分支速率常数,提升了现有低温燃烧模型的预测精度,相关成果以“Unraveling chain branching in cool flames”为题发表在国际著名学术期刊《美国化学会志》上。
冷火焰在19世纪初被发现,相比常规火焰,冷火焰反应并不剧烈,释放很少的热量。冷火焰反应产生大量的过氧化物中间体,随着反应温度的升高,过氧化物发生分解,引发燃料的着火。冷火焰在低温燃烧发动机的点火以及微重力液滴燃烧等过程中发挥着关键作用。目前,文献报道的冷火焰链分支速率常数存在很大差异,这限制了低温燃烧反应动力学模型的发展。
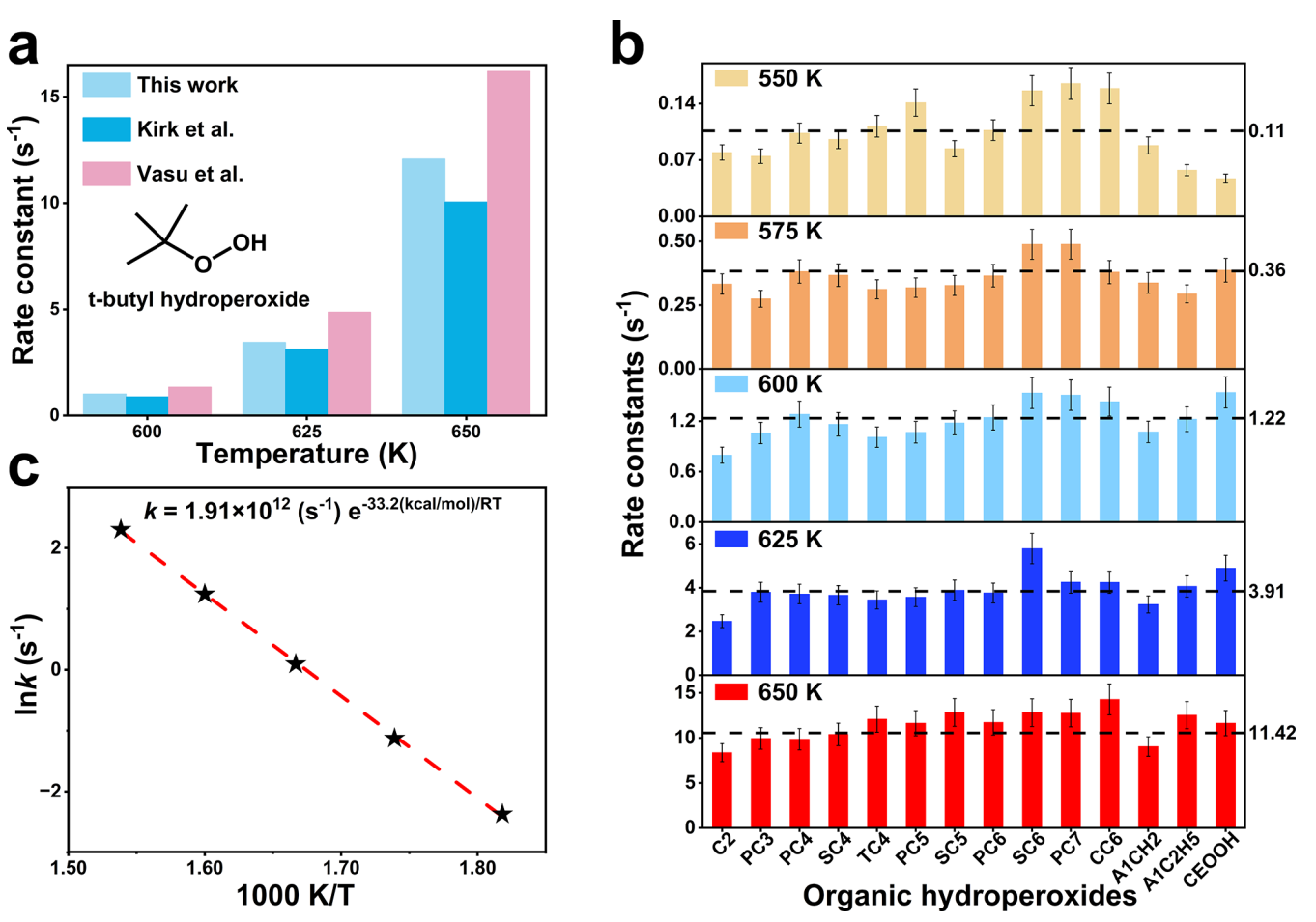
王占东教授课题组在国家同步辐射实验室原子与分子物理线站(BL09U)搭建了毛细管喷雾进样-射流搅拌反应器-超声分子束取样-同步辐射光电离质谱实验平台,实现过氧化物的低温高效气化,均匀温度场的分解反应,以及反应过程的实时在线测量。通过前期工作发展的过氧化物合成方法[Proc.Natl.Acad.Sci.120,e2220131120(2023)],制备出14种不同结构、不同官能团的烷基过氧化物以及一种典型的羰基过氧化物。基于上述实验平台,获得了这些过氧化物的分解曲线,计算出不同温度下的分解速率常数(图1)。实验结果表明,过氧化物的结构以及官能团变化对烷基过氧化物和羰基过氧化物的分解速率常数影响很小,解决了文献中过氧化物分解速率常数存在巨大差异的问题。

图1烷基过氧化物分解速率常数的实验测量
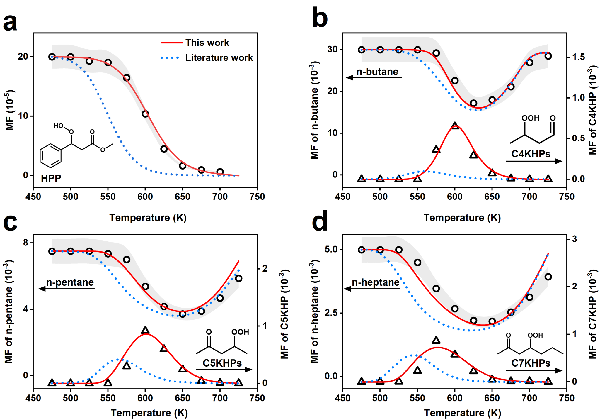
本工作采用新测量的烷基过氧化物和羰基过氧化物的分解速率常数,对燃烧学界最新发展的低温燃烧动力学模型进行了修正。如图2所示,采用新测量的羰基过氧化物分解速率常数,显著地改进了模型的预测精度,为发展更加准确的低温燃烧动力学模型提供了重要的基础燃烧动力学数据。

图2 羰基过氧化物分解速率常数的实验测量和低温燃烧动力学模型预测精度的提升
中国科学技术大学国家同步辐射实验室研究生虎志洪、谢晟、陈书尧为论文共同第一作者。河南科技大学邢利利副教授、中国科学技术大学王占东教授等为该论文的共同通讯作者。本工作得到国家重点研发计划青年科学家项目、国家自然科学基金、中国科学院等项目经费的支持。
论文链接:Hu et al., J. Am. Chem. Soc. 2024, 146, 41, 28060–28069
https://pubs.acs.org/doi/10.1021/jacs.4c06804
(国家同步辐射实验室、火灾科学国家重点实验室、科研部)