我校郭光灿院士团队在纳米机电谐振器研究中取得重要进展。该团队郭国平、宋骧骧等人与苏州大学Joel Moser教授及本源量子计算有限公司合作,实现了基于石墨烯的可滑动纳米机电谐振器。相关研究成果近日以“Sliding nanomechanical resonators”为题,发表于《自然·通讯》(Nature Communications)上。
一个振动物体的振动性质受到其固定方式的影响,这一规律不仅激励人们在宏观世界发明了各式各样独具特色的乐器,也指引人们在微观尺度上设计制备不同类型的力学谐振器。其中,纳米机电谐振器具有质量轻、频率高、品质好、可调谐等优点,在灵敏探测、信号传感、信息处理等领域展现出广阔的应用前景。尽管这些纳米机电谐振器具有不同的形状和振动模式,但它们通常是被稳定的固定在衬底上。随着研究的深入,能否在纳米尺度上实现其他的固定方式,从而对纳米机电谐振器的力学性能进行调控,逐渐成为研究者们关注的问题。
作为二维材料的石墨烯,具有原子级平整的界面,其优异的力学和电学性能,使其成为研究纳米力学,制备纳米机电谐振器的理想材料。我校郭国平教授研究组在前期研究工作(Nat. Commun.9, 383 (2018);PNAS117, 5582 (2020);Nano Lett.21, 8571 (2021))中,发展出了一套预先刻蚀衬底、制备电极再转移石墨烯的纳米机电谐振器制备方式。在这样制备的器件中,石墨烯可以在支撑电极上滑动。研究团队发现器件谐振频率随着栅压的往返调节展现出频率回滞环,环的大小可受栅压变化范围和扫描速度的调制。这表明器件谐振频率不仅依赖于施加栅压的大小,也与栅压的施加方式有关(如图1)。

图1. (a)基于石墨烯的可滑动纳米机电谐振器;(b)器件随着栅压往返调节展现出频率回滞环。
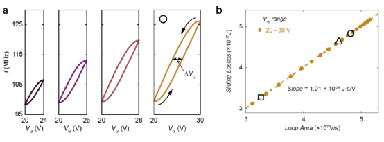
为了解释这一新奇实验结果,研究团队提出了可滑动纳米机械振子模型:一方面,增加栅压提高了石墨烯中的应力,使谐振频率上升;另一方面,在栅压产生的静电力作用下,石墨烯在固定点处发生了滑动,使悬浮部分长度增加,降低谐振频率。这两种机制的竞争导致了频率环的出现。利用这一模型进行理论计算,研究团队很好复现了实验结果。进一步,研究团队发现频率环的面积正比于滑动过程中因摩擦所导致的能量损耗,并据此估算了石墨烯与电极金属之间的摩擦耗散,与其他小组在扫描探针实验中测得的结果一致。这一结果表明,可滑动纳米机电谐振器可以为纳米摩擦力学研究提供新的研究方法和平台(如图2)。

图2. (a)利用可滑动纳米机械振子模型计算得到的频率环;(b)频率环的面积正比于滑动过程中因摩擦所导致的能量损耗。
正如中国古琴、印度西塔琴、日本三味线等东方乐器一样,它们独特的音色来源于琴弦振动时固定点的含时变化。在纳米尺度的可滑动纳米机电谐振器中,滑动所引入的含时边界条件将极大丰富器件的振动性质,提供全新的器件力学性能调控手段。这一研究结果展示了在纳米尺度上实现新型固定方式的可能。
中国科大中科院量子信息重点实验室郭国平教授、宋骧骧特任副研究员、苏州大学Joel Moser教授为论文共同通讯作者,中国科大研究生应钺、特任副研究员张拙之为论文共同第一作者。该工作得到了科技部、国家自然科学基金委、安徽省的资助。
论文链接:https://www.nature.com/articles/s41467-022-34144-5
(中科院量子信息重点实验室、中科院量子信息和量子科技创新研究院、物理学院、科研部)