中国科大首次实现基于里德堡原子临界增强的高灵敏微波传感
我校郭光灿院士团队在基于相变的精密测量上取得新进展。该团队史保森、丁冬生课题组与丹麦奥尔胡斯大学的Klaus M?lmer教授和英国杜伦大学的Charles S. Adams教授合作,利用强关联系统的相变提高了里德堡原子对微波电场测量的精度和灵敏度,相关成果以“Enhanced metrology at the critical point of a many-body Rydberg atomic system”为题发表在国际知名学术期刊《Nature Physics》上。
发展现代化先进量子测量体系具有重要的研究意义,它既是国家重大需求,又符合国际化发展潮流。由于里德堡原子具有较大的电偶极矩,可以对微弱的电场产生很强的响应,因此已经成为一个非常有前景的微波测量的量子体系。另一方面,由于里德堡原子之间具有长程强相互作用,常被用于模拟研究强关联系统以及相变。强关联系统在临界点附近对外界扰动更加敏感,可以被应用于量子精密测量领域。虽然有大量理论报道利用强关联系统的临界状态去做量子传感,从理论被提出来十几年后,但在实验上一直未能成功实现。主要原因是:多体系统相变过程难制备、临界点的外场调控技术欠缺等。
近年来,史保森、丁冬生领导的科研团队利用里德堡原子体系,聚焦量子模拟和量子精密测量科学研究,已取得了重要进展。在本工作中,团队发展了里德堡原子临界点与微波电场的耦合技术。基于室温铷原子体系,利用多体系统相变点对于微波扰动更加敏感的特点,显著提高了测量微波的精度和灵敏度。如图1所示,多体系统中的原子透射谱在相变点附近变得更加陡峭,相当于一把频域上刻度更细的尺子,因此对于微波测量具有更高的精度。陡峭的谱线是由在相变发生时,系统从一个态跳到另一个态的突变过程产生的。

图1 第一行为少体无相变时的能级图(a),电磁诱导透明透射谱曲线(b),第二行为多体情况下的能级图,透射谱曲线。多体相对于少体,在上能级分布上具有加宽的现象,透射谱在临界点附近更加陡峭,相当于一把频域上刻度更加细的尺子,因此可以更高精度地测量微波电场。
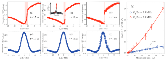
团队利用Fisher information来衡量精度,如图2所示。实验表明,相比于少体无相变的情况,多体系统在临界点的Fisher information具有显著提高,提高了三个数量级。对应于测量精度提升至少一个量级,并且随测量时间的增加而增加,呈现指数增长的趋势。在单体情况下,系统灵敏度约为3.1 μV/cm/Hz^0.5,而在多体情况下,系统对于微波电场的测量灵敏度为49nV/cm/Hz^0.5,提高了60多倍。

图2 实验中不同测量时间下多体与少体透射谱的对比。多体透射谱临界点附近斜率随测量时间增长显著,快于线性增长,而少体情况,谱线变化不明显。
该工作得到了审稿人的高度评价:“该实验真正具有开创性,具有重大的潜在影响,因为它为开发基于强相互作用多体系统的新一代量子传感器打开了大门。”,“49 nV/cm/sqrt(Hz)的灵敏度令人印象深刻,很好地表明了这种方法在计量方面的潜在应用。” (“This experiment is truly groundbreaking with significant potential impact as it opens the gate for developing a new generation of quantum sensors based on strongly interacting many-body systems.”, “The stated sensitivity of 49 nV/cm/sqrt(Hz) is very impressive, and is a good indication of the potential applications of this method for metrology.”)
中科院量子信息重点实验室丁冬生教授与博士研究生刘宗凯为本文的共同第一作者,丁冬生教授、史保森教授、丹麦奥尔胡斯大学的Klaus M?lmer教授和英国杜伦大学的Charles S. Adams教授为本文的共同通讯作者。该成果得到了科技部、基金委、中科院、安徽省重大科技专项以及中国科学技术大学的资助。
文章链接:https://www.nature.com/articles/s41567-022-01777-8
Nature Physics News & Views: https://www.nature.com/articles/s41567-022-01785-8
(中科院量子信息重点实验室、中科院量子信息和量子科技创新研究院、物理学院、科研部)