我校郭光灿院士团队在量子非局域性研究中取得重要进展,该团队李传锋、柳必恒研究组将高维纠缠光子的总体探测效率提升到71.7%,从而实现了无探测漏洞的高维贝尔不等式检验。该成果8月3日发表在国际知名期刊《物理评论快报》上。
非局域性是量子力学和量子信息科学的重要基础。随着贝尔不等式的提出,人们可以在实验上检验量子非局域性。由于实验装置的不完美,绝大多数实验都存在漏洞,其中广受关注的漏洞包括探测漏洞和局域性漏洞等。2015年,科学家们首次在二维纠缠体系中同时关闭了探测漏洞和局域性漏洞,并以此为基础发展出了各种设备无关的量子信息任务。
相比二维量子纠缠而言,高维量子纠缠在信道容量、安全性及抗噪能力上都具有明显优势,因此实现无漏洞的高维贝尔不等式检验并以此为基础实现设备无关的高维量子信息任务是目前量子信息领域亟需发展的重要方向。近年来李传锋、柳必恒研究组致力于高维量子网络的实验研究,并已取得一系列进展,解决了高维量子纠缠的制备、传输、测量等困难,为实现高维量子网络打下坚实的基础。
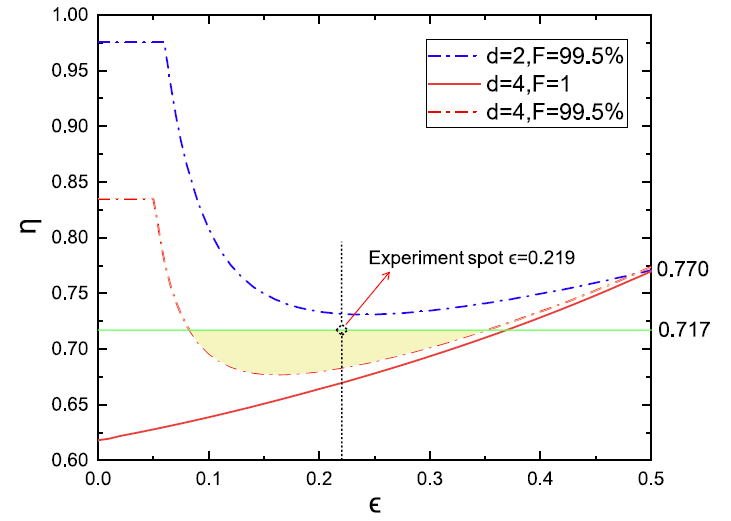
在本实验中,研究组在高维纠缠光子的探测效率方面取得突破,实现了无探测漏洞的高维贝尔不等式检验。研究组采用波长775纳米的激光泵浦beamlike切割的非线性晶体得到波长1550纳米的纠缠光子,这种切割方式可以有效增大纠缠光子的收集效率,并采用了透过率达到99%的滤波装置和探测效率90%的超导单光子探测器,并且所有光学元件的基片都采用了在1550纳米吸收率极低的光学玻璃,由此最终实现了总体探测效率达71.7%的四维纠缠光子态,该探测效率远高于关闭四维贝尔不等式探测漏洞所需的阈值61.8%,同时四维纠缠光子态的保真度达到了99.5%。通过合理选择参数,研究组在国际上首次实现了无探测漏洞的高维贝尔不等式检验。该成果为进一步实现同时关闭探测漏洞和非局域性漏洞的高维贝尔不等式检验及设备无关的高维量子通信过程奠定重要基础。
文章第一作者为中科院量子信息重点实验室副研究员胡晓敏博士和博士研究生张超。本研究得到科技部、国家基金委、中国科学院和合肥国家实验室的支持,柳必恒研究员是中国科学技术大学仲英青年学者。

图1:实验装置图。

图2:实现无探测漏洞的贝尔不等式检验所需的探测效率对比图。在保真度均为99.5%时,四维纠缠态的探测效率需求明显低于两维纠缠态的探测效率需求。
文章链接:https://journals.aps.org/prl/abstract/10.1103/PhysRevLett.129.060402
(中科院量子信息重点实验室、中科院量子信息和量子科技创新研究院、物理学院、科研部)