中国科学技术大学地球和空间科学学院陆全明和王荣生研究团队,在湍动磁场重联电子加速研究领域取得重要进展。基于地球磁层多尺度卫星(MMS)原位探测数据,该团队的研究首次发现磁场重联扩散区可演化为湍流态。在处于湍动态的磁场重联扩散区,电子可通过多种加速机制(二阶费米、betatron加速、静电势等)被有效地加速至相对论能量(~300KeV),并在分布函数上呈现幂律谱分布。相关结果于6月10日在线发表在Nature Communications上。
磁场重联是一种基本的等离子体物理过程。该过程中,磁自由能被快速地释放而转化为等离子体动能和热能,并产生高能电子。由磁场重联产生的高能电子被认为是伽马射线爆,太阳耀斑,以及磁暴等现象的主要驱动原因。等离子体湍流是另一种基础的等离子体现象,广泛存在于空间等离子环境中。在等离子体湍流中,能量可以从大尺度输运到小尺度,最终在动力学尺度被耗散,并加热或加速等离子体。这两个基础的等离子体物理过程相互耦合,湍流可以由重联产生,反过来,重联的演化也会受到湍流的影响。

图1:重联事例概览。(a)-(e)分别为:磁场、离子流速、电子温度、电流密度和高能电子通量。

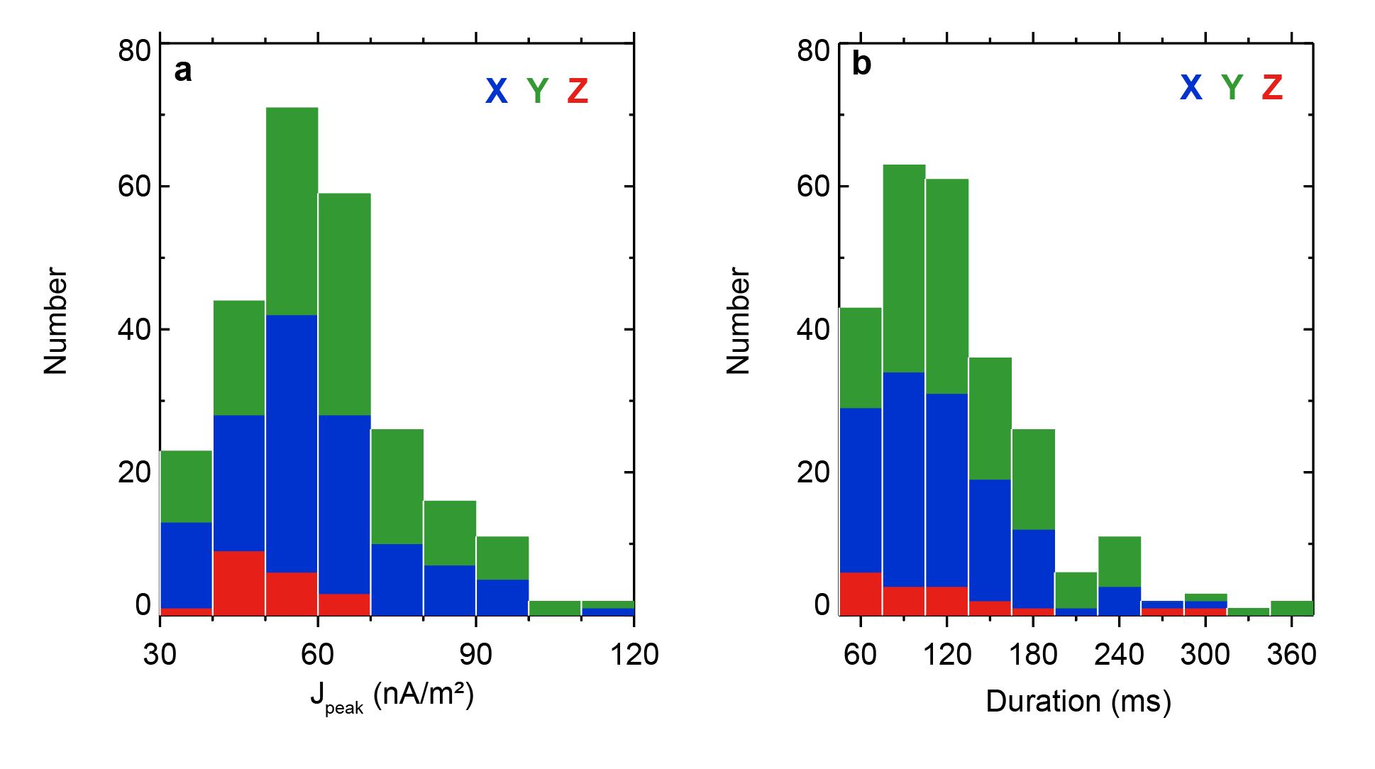
图2:扩散区内丝状电流丝的统计特征。(a)丝状电流丝强度;(b)丝状电流持续时间(尺度)。颜色表示GSE坐标系下电流丝的主导方向。
利用高时空分辨率、高精度的卫星数据,该研究团队在地球磁尾电流片中观测到一个正在发生重联的电流片,而且卫星穿越了重联的扩散区(图1中阴影部分)。与典型重联模型不同,该扩散区不是一个完整的层流电流片,而是破碎为大量电流丝(图1d)。这些不同强度(图2a),不同尺度的电流丝 (图2b)在扩散区内沿着各个方向延伸(主要在x和y方向),并相互交织,形成了一个三维的网状电流体系,也即该扩散区处于湍流状态。在这个湍流态的扩散区内,高达300KeV的高能电子通量显著增加(图1e),且高能电子在分布函数上呈现幂律谱分布(图3)。研究结果表明,重联的扩散区可以演化为湍流状态,电子在湍流态的扩散区内可被有效加速至几百KeV。

图3:电子分布函数。其中黑色为背景电子分布。
中国科学技术大学博士生李新民是论文的第一作者,王荣生教授和陆全明教授是论文的共同通讯作者。该研究获得了中国科学院和国家自然科学基金委的资助。
论文链接:https://www.nature.com/articles/s41467-022-31025-9
(地球和空间科学学院、科研部)