学校主页

科研进展

2021年11月24日
中国科大实现高维量子纠缠态的最优检测

11月22日,中国科大郭光灿院士团队在高维量子通信研究中取得重要进展,该团队李传锋、柳必恒研究组与电子科技大学王子竹教授、奥地利高小钦博士、Miguel Navascués教授等合作,首次实现了高维量子纠缠态的最优检测。相关成果发表在国际知名期刊《物理评论快报》上。

量子纠缠是量子信息过程的核心资源,如何在实验上制备和检测量子纠缠是量子信息领域的基本任务。然而,随着系统维度数和粒子数的增加,量子态层析技术这种传统的检测量子纠缠态的方法消耗的资源将会指数增长,因而在实验上不具备可扩展性。为了解决高维纠缠检测这一难题,研究组曾利用基于保真度的纠缠目击方法检测了32维的两体最大纠缠态,保真度达到了世界上最高水平[Phys. Rev. Lett.125, 090503 (2020)]。然而对于常见的非最大高维纠缠态,基于保真度的纠缠目击方法并不普适。

针对该困难,研究组与理论合作者们给出了一种最优的量子纠缠检测方法,该方法适用于所有的两体量子纠缠态。为了检验该方法的普适性,他们在实验上巧妙的制备出一系列不同类型的高维量子纠缠态,并实现了对该量子纠缠态的局域测量等操作,从而实现最优的量子纠缠检测。实验结果表明,对于四维或三维的不能采用基于保真度的纠缠目击方法检测的量子纠缠态,用新的方法只需采用三组测量基即可认证其量子纠缠。

本成果解决了两体高维纠缠态的检测问题,为实现各种高维量子信息过程和研究高维系统中的量子物理基本问题打下重要基础。

文章共同第一作者为中科院量子信息重点实验室特任副研究员胡晓敏博士和博士研究生邢文博。本研究得到科技部、国家基金委、中国科学院、安徽省的支持。

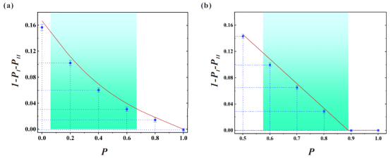
图1. 高维量子纠缠态的最优检测实验结果。(a)和(b)是两种不同的非最大纠缠态。图中绿色区域中的纠缠态不能用基于保真度的纠缠目击方法检测。

文章链接: https://journals.aps.org/prl/abstract/10.1103/PhysRevLett.127.220501


(中科院量子信息重点实验室、中科院量子信息和量子科技创新研究院、科研部)

  • 07.02
  • 06.28
  • 06.26
  • 06.24