学校主页

科研进展

2021年03月31日
中国科大在吸附接触力学领域取得新进展

在微纳米尺度下,材料的表面形貌和表面相互作用极大地影响了材料的吸附接触行为,发展吸附接触力学理论对生物力学、微纳米机电和原子力显微镜等众多领域都具有重要的基础意义。近期,中国科学技术大学工程科学学院、中国科学院材料力学行为和设计重点实验室郑志军研究组在粗糙表面的弹性吸附接触力学方面取得新进展。他们发现表面粗糙度可以改变接触界面的强度和吸附模式,并揭示了界面增强/减弱和吸附模式转变的力学机理。相关研究成果以“Adhesion of elastic wavy surfaces: Interface strengthening/weakening and mode transition mechanisms”为题发表在固体力学领域旗舰期刊Journal of the Mechanics and Physics of Solids (JMPS 2021;151:104402)上。

自然界中许多现象与粗糙表面吸附接触问题密切相关,如昆虫吸附在物体表面、壁虎在墙壁上行走、细胞吸附探针或其它细胞、噬菌体侵染大肠杆菌。理想光滑表面并不存在,实际表面都是粗糙的,表面粗糙度对材料吸附行为的影响存在着持久性争议,力学机理尚不明晰。2007年,美国布朗大学Guduru教授及其合作者将经典的JKR理论推广用于研究波浪形粗糙表面的吸附接触问题(后来被称为Guduru问题,图1),认为表面粗糙度使材料界面得到增强,并指出其机理为表面粗糙度引起了载荷-位移曲线的振荡,增大了分离界面所需要的拔出力。然而,Guduru的结果导致拔出力与粗糙度正相关的悖论,无法解释那些表面粗糙度减弱吸附的实验现象。

图1Guduru问题:(a)三维视图、(b)二维视图和(c)典型粗糙度下的完整载荷–位移曲线

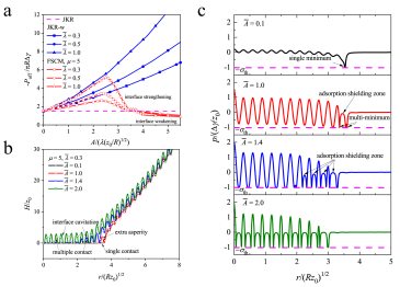
针对上述问题,研究团队通过建立粗糙表面变形与相互作用的自洽方程,发展了完全自洽模型(FSCM)。该模型是连续介质力学框架内最为准确的吸附接触力学模型,然而自洽方程中含有强非线性积分项,需要通过数值迭代求解。为此,研究人员在一个新的计算程序中,利用椭圆积分的性质,结合Riemann–Stieltjes积分从根本上解决了吸附自洽方程中积分项所存在的奇异性问题,并采用弧长控制法、自适应网格和牛顿迭代法等技术解决了数值求解的困难,获得了高精度的数值计算结果。在较小的表面粗糙度下,完整载荷–位移曲线呈现单重振荡特征,这与Guduru基于JKR理论获得的认识一致。而在较大的表面粗糙度下,完整载荷–位移曲线呈现双重振荡或局部回旋振荡特征(图1c),区别于JKR理论预测的单重振荡特征。研究人员发现,随着粗糙度的增加,界面强度先增大后减小(图2a),吸附模式从简单接触转变为多点接触(图2b)。进而,研究人员建立了吸附模式分区图,给出了界面增强/减弱的临界粗糙度,并揭示了吸附增强/减弱的力学机理(图2c)。当表面粗糙度较小时,在拔出过程中接触区内出现起伏状压强分布,使得拔出力增大;而当表面粗糙度较大时,由于粘着应力存在上限,在拔出过程中局部界面出现空化,形成吸附屏蔽区,使得拔出力减小。这些认识表明在后续发展粗糙表面吸附接触的简化模型时,必须放弃紧密接触条件,并约束粘着应力的最大取值。

图2表面粗糙度对拔出时吸附接触行为的影响:(a)拔出力、(b)表面间距分布和(c)压强分布

该研究不仅系统地揭示了表面粗糙度对界面吸附行为的影响机制,还为吸附接触力学模型研究提供了新思路。论文通讯作者为郑志军副教授。论文第一作者朱玉东自本科开始研究Guduru问题,获得中国科学技术大学2018年度校级优秀毕业论文奖,并保送硕博连读,现为博士研究生。

论文链接:https://doi.org/10.1016/j.jmps.2021.104402


(工程科学学院近代力学系、中国科学院材料力学行为和设计重点实验室、科研部)

  • 07.02
  • 06.28
  • 06.26
  • 06.24