中国科大利用纠缠测量极小化测量对热力学系统的反作用
我校郭光灿院士团队在量子测量研究中取得重要进展,该团队李传锋、项国勇研究组与德国、意大利以及瑞士的理论物理学者合作,在光子系统中首次实验使用纠缠集体测量(entangled collective measurement)将量子比特热力学系统中投影测量的反作用(back action)降至最小。相关研究成果于2020年11月16日发表在国际知名期刊《物理评论快报》(Physical Review Letters)上。
对演化的相干量子系统上的一个可观测量进行两次投影测量时,第一次测量通常会改变第二次测量的统计信息,这就是所谓的测量反作用。根源在于量子投影测量会完全破坏量子系统的量子叠加性。Martí Perarnau-Llobet博士的工作[Phys. Rev. Lett. 118, 070601 (2017)]指出,在不违背量子热力学的基本涨落理论的前提下,我们无法设计出一个测量方案完全避免反作用,但我们可以通过集体测量的方式来减少反作用的程度——假如我们有两份相同拷贝的量子态,并且对这个整体做一个广义量子测量,就可以提取量子态中部分初始叠加性的信息。也就是说,通过集体测量,我们能减少投影测量所带来的反作用。基于以上的理论结果,项国勇等人于2019年首次在实验上利用量子集体测量成功观测到测量反作用力的减小[Sci. Adv. 5, eaav4944 (2019)]。
先前的工作[Phys. Rev. Lett. 118, 070601 (2017),Sci. Adv. 5, eaav4944 (2019)]所使用的集体测量均为可分离量子集体测量,一个自然的问题即可被提出:是否存在纠缠的集体测量超越我们已经实现的反作用减少程度。项国勇等人就两比特情形下,对最优化的集体测量形式进行了深入的研究,他们发现在理论上存在一个最优的纠缠集体测量,能在两比特系统中使反作用达到最小,并且在强相干演化的情形下,其反作用可被压制为0。项国勇等人利用单光子的多个自由度结合光量子行走的实验技术,设计并以高达0.985的保真度实现了该纠缠测量,成功地在实验上把投影测量反作用降至最小。
图1:实验原理图与实验装置图

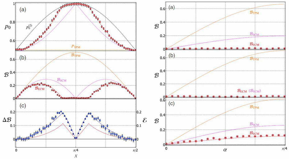
图2:实验结果。对不同初始量子态和演化过程,利用纠缠集体测量实现反作用力的减小。
审稿人对该工作给予了高度评价:“The experiment is well executed, as the results follow closely what one would expect from an ideal implementation. Overall, I find the article a highly interesting contribution to the topic of quantum back action and a great combination of new theory and flawless experimental implementation(该实验执行得很好,实验结果与理想实现的预期非常接近。总的来说,我发现这篇文章是对量子反作用这一主题的一个非常吸引人贡献,是新理论和完美实验实现的成功结合)”“this work represent a major advance in the field(这项工作是该领域的一项重大进展)”。该工作对集体测量以及量子热力学的研究具有重要意义。
文章的第一作者是中科院量子信息重点实验室的博士后吴康达,通讯作者是Karen V. Hovhannisyan博士,Martí Perarnau-Llobet博士以及项国勇教授。该项研究得到了科技部、国家自然科学基金委、中科院和教育部,EU COST Action MP1209 on Thermodynamics in the Quantum Regime以及Swiss National Science Foundation基金的支持。
论文链接:https://journals.aps.org/prl/abstract/10.1103/PhysRevLett.125.210401
(中科院量子信息重点实验室、中科院量子信息和量子科技创新研究院、科研部)