我校郭光灿院士团队在里德堡原子研究方向取得重要进展:该实验室史保森教授、丁冬生教授与英国杜伦大学的Charles. Adams教授等合作在实验上实现了基于里德堡原子的多体自组织模拟,主要研究成果于2020年4月29日发表在国际物理学知名期刊Physics Review X上。
自然界有很多现象本质上遵循多体物理的演化规律,比如大树如何生长、晶体如何自发生成、病毒细胞如何积聚并最终发展成病毒体以及通过社会网络交互性感染人类等,这些由于多体相互作用产生的新物态服从一种自组织规律。自组织是指混沌系统在随机识别时形成耗散结构的过程,它广泛存在于自然界中,比如物理学中的相变和自发对称性破缺现象、化学中分子自组装和自催化网络、生物学中蛋白质的自发折叠和动物的集群行为、计算机科学中的细胞自动机、以及社会学、经济学、行为金融学和人类学等领域诸如批判性集群及集群思维等。一个特别有趣和重要的现象是自组织临界(SOC)行为:系统被吸引到一个临界点,在这个临界点上,系统的行为发生了巨大的变化。SOC是自然界中许多复杂性例子的核心,例如森林火灾和病毒的传播等等。因此,研究SOC对于模拟自然界复杂的多体问题具有重要的意义。

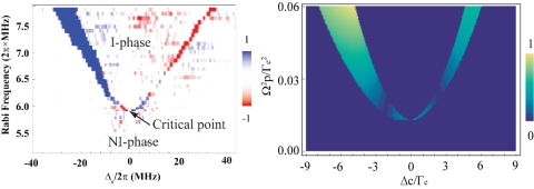
图1:实验测得相图(左图)和理论计算的相图(右图)。
相较于稀薄的原子气体,里德堡原子系综中的原子之间相互作用要强得多,高极化率使得原子之间的偶极相互作用可以长达数微米。强的相互作用使得我们可以在室温条件下的原子系综中观察到非平衡相变现象。采用传统粒子数布局法探测基于里德堡原子非平衡相变的精度在几百MHz的数量级。史保森、丁冬生及其合作者提出了一种新的探测方法:通过里德堡原子的电磁诱导透明效应来观测非平衡相变。相比于传统方法将频率分辨率提高了两个数量级。进一步,他们测出了完整的相图,同时观测了临界点附近的动力学行为,并揭示出以前没有被观察到的在弱驱动光条件下的光学响应和非平衡动力学中的时域谱特性。
图1是他们根据扫描的光谱信号得到的相图。根据相图可以清晰地区分单体无相互作用相(NI-phase)和多体相互作用相(I-phase)。当一个相互作用范围内的平均里德堡原子数量达到临界值时,相变就会发生,系统就会从NI-phase到I-phase渡越(如图2所示),反之亦然。由于测量的灵敏度在MHz量级,他们可以探测临界点附近系统的动力学演化行为,并且发现系统的演化服从幂指数函数。实验结果和森林火灾模型所预测的一样,这给研究多体动力学中的基本物理开辟了新的道路。

图2为基于里德堡原子多体相变的概念图(丁冬生设计)
该工作得到了审稿人的高度评价:“This is probably the most detailed and elaborate study of bistable behavior in Rydberg vapors reported so far.”,“这可能是迄今为止研究里德堡气体中双稳态行为最系统详深入的报道”,“their results are impactful enough, potentially also beyond the Rydberg community, to merit publication in PRX”,“他们的研究结果不仅对里德堡研究领域、甚至对其他领域都会产生很大的影响力,因而值得在PRX发表”;“The quality of the presentation is very high. All in all,a very nice manuscript. Congratulations!”“论文论述质量很高。总而言之是一篇高质量的论文。祝贺作者!”;“From my point of view, the technical level of the paper is very high as mentioned, and the phase diagram is interesting in the sense of its first accurate determination for a Rydberg ensemble.”。“在我看来,本文的技术水平非常高,第一次精确地刻画了里德堡体系的相图”。文章发表在PRX上被Physics Viewpoint 热点报道,并选为Featured in Physics在PRX主页上Highlights推荐。
该成果得到了科技部、基金委、中科院、安徽省引导专项以及中国科学技术大学的资助。
文章链接:
https://journals.aps.org/prx/abstract/10.1103/PhysRevX.10.021023
Physics Viewpoint链接:https://physics.aps.org/articles/v13/70
(中科院量子信息重点实验室、中科院量子信息与量子科技创新研究院、科研部)