我校郭光灿院士团队在量子力学基本问题研究中取得重要进展,该实验室李传锋、柳必恒等人与澳大利亚的理论物理学家合作,首次实验观测到测量设备无关的高维量子导引,并用其产生私密量子随机数。该研究成果2019年10月23日发表在国际权威物理学期刊《物理评论快报》上。
量子导引是介于量子纠缠和贝尔非局域性之间的一类量子非局域特性,描述了作用在纠缠粒子对中一个粒子上的局域测量能够非局域地影响另一个粒子的状态的能力。量子导引在量子密钥分发、量子信道鉴别、随机数产生等量子信息任务中具有重要应用。由于实验设备性能有限或者存在被敌对者操控的可能性,这会给量子导引实验带来漏洞。以观测纠缠光子对的量子导引为例,由于单光子探测器的效率有限,未被探测到的光子原则上可以被潜在的敌对者利用,这就使得量子导引实验结果变得不可靠。为了解决这一问题,理论物理学家们设计出一类量子仲裁(quantum refereed)的量子导引鉴定方法,通过引入第三方的仲裁,使得量子导引实验检验变得和测量设备无关。
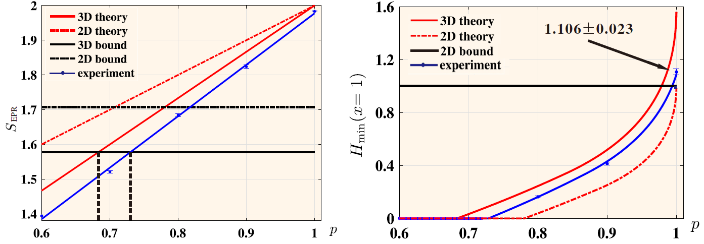
受此启发,李传锋、柳必恒等人巧妙构地造出测量设备无关的高维量子导引目击算符,首次实验实现了测量设备无关的高维量子导引。研究组利用参量下转换过程在偏振和路径自由度上制备出一系列高保真度三维纠缠态。然后仲裁者向纠缠双方发出一系列测试要求,收集双方数据检验高维量子导引不等式,测试结果最高达到1.983(0.002),远超过三维情形的经典理论极限1.57,证实这些纠缠态具有量子导引特性。作为应用,研究组进一步将实验观测到的数据运用于随机数产生,每纠缠光子对可得到1.106(0.023)比特私密量子随机数,超出了利用两维纠缠态所能达到的理论极限(1比特每纠缠光子对),充分展示了高维纠缠在量子信息过程中的优势。
该工作是基于高维系统的测量设备无关量子信息任务的首次实验尝试,将对量子物理基本问题和测量设备无关量子信息过程的研究带来重要推动作用。
文章第一作者为中科院量子信息重点实验室博士研究生郭钰。本研究得到科技部、国家基金委、中国科学院、安徽省的支持。


测量设备无关的高维量子导引及随机数产生的实验装置图和结果图
论文链接:
https://journals.aps.org/prl/abstract/10.1103/PhysRevLett.123.170402
(中科院量子信息重点实验室、中科院量子信息和量子科技创新研究院、科研部)