我校郭光灿院士团队在量子行走方向取得新进展:该团队李传锋、韩永建和许小冶等人首次提出并实验验证量子行走中纠缠鲁棒性在不同拓扑相下存在显著差异,并以此进一步实现了拓扑相及其相变的探测。相关研究成果于1月14日发表在《Optica》。
量子纠缠已被证明在量子度量、量子密钥分发和量子计算等量子信息处理过程中起着关键性的作用。建立系统拓扑性质与纠缠鲁棒性之间的联系是量子信息中的重要问题,为此既需要量化系统中的纠缠度量,还需要对系统的拓扑相进行完整分类。量子行走系统提供了研究二者关系的一个关键平台。
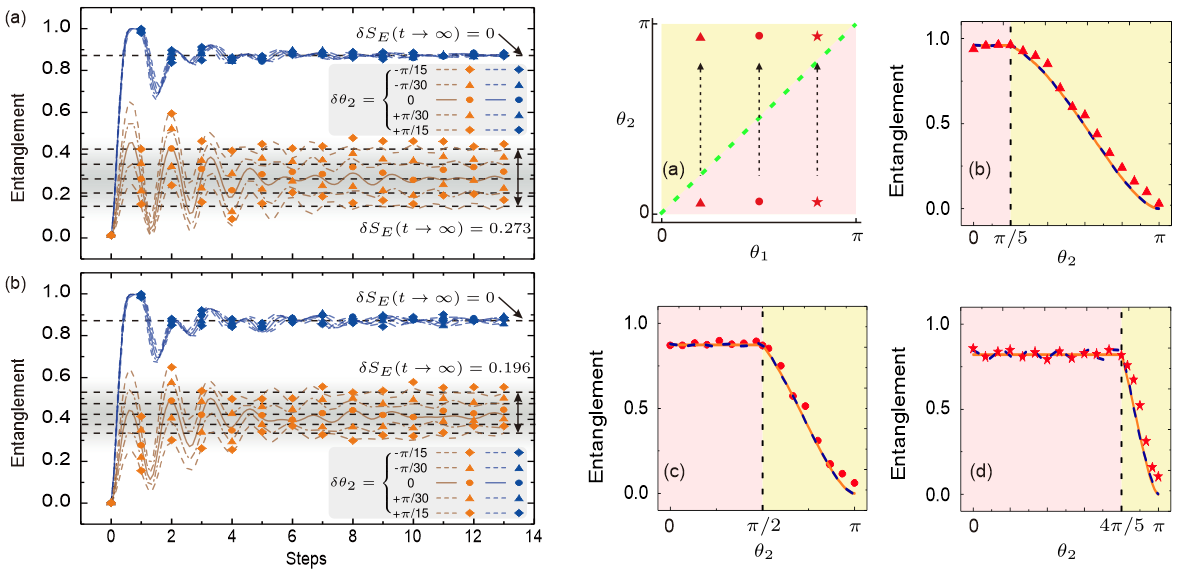
李传锋研究组利用在量子行走中直接测量体拓扑不变量[Phys. Rev. Lett. 120, 260501 (2018)]和观测光子自旋与位置之间的纠缠动力学[Optica 5, 1136 (2018)]中建立的实验技术直接验证了此系统的拓扑与纠缠鲁棒性之间存在关联。首先,从理论上预言:拓扑非平庸相中的纠缠不受某一参数影响,具有鲁棒性;而在拓扑平庸相中,纠缠对这一参数的扰动非常敏感。通过改变实验系统控制参数,实验验证了不同拓扑相下的量子行走中量子纠缠的鲁棒性差异,利用这种差异还可以判断相变临界点。本实验结果为建立多体拓扑系统与量子纠缠鲁棒性之间的普遍关系迈出了一步。这种联系的建立将加深对多体量子系统的理解,进一步促进量子编码和量子纠错的发展。
审稿人高度评价该项工作:“在我看来,这项工作是新颖的,对量子信息处理的理论方面和未来的发展有着重大的影响。”(In my view, this work is novel with high impact for both theoretical aspects and future development of quantum information processing)
该论文第一作者为中科院量子信息重点实验室博士研究生王琴琴。上述研究得到了科技部、国家自然科学基金委、中科院、安徽省以及博士后创新人才支持计划的资助。

拓扑相及相变临界点探测实验结果
论文链接:https://doi.org/10.1364/OPTICA.375388
(中科院量子信息重点实验室、中科院量子信息和量子科技创新研究院、科研部)